Skip to content Skip to sidebar Skip to footer

How To Find Population Variance From Sample Variance - Let us consider two population sets with the same mean and number of observations.

How To Find Population Variance From Sample Variance - Let us consider two population sets with the same mean and number of observations.. Following are the steps which can be followed to calculate population variance: 50, 55, 45, 60, 40. The next step is to find the mean value. Please note that constructing a table is not compulsory, but presenting it in a tabular format would make the calculations easier. See full list on wallstreetmojo.com

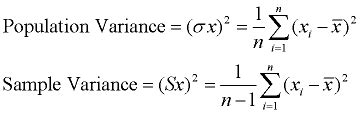
X̄ is the mean of the population. N is the population size, i.e. Population variance refers to the value of variance that is calculated from population data, and sample variance is the variance calculated from sample data. Both the data sets have the same mean, which is 50. It is basically the average of all the.

Sample Variance And Population Variance - Sample Site t
Sample Variance And Population Variance - Sample Site t from lh5.googleusercontent.com
Find the sum of the squared deviations and divide the sum so obtained by the number of observations (n). When i calculate population variance, i then divide the sum of squared deviations from the mean by the number of items in the population (in example 1 i was dividing by 12). Let us consider two population sets with the same mean and number of observations. See full list on wallstreetmojo.com In the first column, write each observation (x1, x2, x3,….xn). X̄ is the mean of the population. Please advise the quality control department on whether it should reject the containers. Calculate the mean (µ) of the given data.

Calculate the mean (µ) of the given data.

Here we discuss how to calculate population variance using its formula along with practical examples and a downloadable excel template. In particular it provides some intuition behind the besse. In other words, square each of the numbers obtained in column 2. This will help us to obtain which is the population variance. Data set 1 has a variance of only 10, while data set 2 has a huge variance of 1130. Calculate the population variance of the salaries for the ceo. Let us consider two population sets with the same mean and number of observations. Use the following data for the calculation of population variance. The next step is to find the mean value. 50, 55, 45, 60, 40. Use the following data for the calculation. When i calculate population variance, i then divide the sum of squared deviations from the mean by the number of items in the population (in example 1 i was dividing by 12). The formula for population variance can be calculated by using the following five simple steps:

See full list on wallstreetmojo.com In order to calculate the mean, add all the observations and then divide that by the number of observations (n). Please advise the quality control department on whether it should reject the containers. The variance gives a scientific measure of this closeness/dispersion. The next step is to find the mean value.

3 Ways to Calculate Variance - wikiHow
3 Ways to Calculate Variance - wikiHow from www.wikihow.com
The next step is to find the mean value. For this purpose, he wants you to calculate the variance of these salaries. Then multiply that population variance with n to obtain the population variance when pulling single size samples). Please note that constructing a table is not compulsory, but presenting it in a tabular format would make the calculations easier. The formula for population variance can be calculated by using the following five simple steps: Calculate the mean (µ) of the given data. Both the data sets have the same mean, which is 50. Learn how to calculate the sample population variance in this tutorial which is given with the definition, formula and example.

In order to calculate the mean, add all the observations and then divide that by the number of observations (n).

Calculate the mean (µ) of the given data. Population variance is used as a measure of dispersion. In other words, square each of the numbers obtained in column 2. Find the number of points in the data set i.e. Sweet juice ltd manufactures different flavors of juice. Calculate the population variance from the following 5 observations: Please advise the quality control department on whether it should reject the containers. Data set 2 consists of 10, 50, 85, 90, and 15. Population variance refers to the value of variance that is calculated from population data, and sample variance is the variance calculated from sample data. But, in data set 1, the values are close to each other while data set 2 has dispersed values. 105, 100, 102, 95, 100, 98, and 107. N is the population size, i.e. A small variance indicates that the numbers are close to each other.

Data set 1 has a variance of only 10, while data set 2 has a huge variance of 1130. Find the number of points in the data set i.e. Use the following data for the calculation of population variance. See full list on wallstreetmojo.com Use the following data for the calculation.

Population Variance Formula | How to Calculate Population ...
Population Variance Formula | How to Calculate Population ... from www.educba.com
In the first column, write each observation (x1, x2, x3,….xn). Calculate the population variance of the salaries for the ceo. Then multiply that population variance with n to obtain the population variance when pulling single size samples). Population variance is used as a measure of dispersion. Let us consider two population sets with the same mean and number of observations. The management department purchases 7 big containers for storing this juice in the factory. Nov 03, 2016 · theory (approach each sample of the same parameter as random and thus state the population is a sum of the independent samples with a weight 1/k of each, giving you a resulting population variance if you pull another sample size n. Data set 1 has a variance of only 10, while data set 2 has a huge variance of 1130.

The next step is to find the mean value.

Subsequently, we need to add the numbers obtained in the third column. Use the following data for the calculation of population variance. 105, 100, 102, 95, 100, 98, and 107. Use the following data for the calculation. The total number of values in the population. N is the population size, i.e. See full list on wallstreetmojo.com Learn how to calculate the sample population variance in this tutorial which is given with the definition, formula and example. There are a total of 5 observations. In the first column, write each observation (x1, x2, x3,….xn). Population variance is used as a measure of dispersion. Given are the weights of 7 containers in kg: Feb 18, 2021 · population variance describes how data points in the entire population are spread out.

See full list on wallstreetmojocom how to find population variance. 105, 100, 102, 95, 100, 98, and 107.